전자기학












-
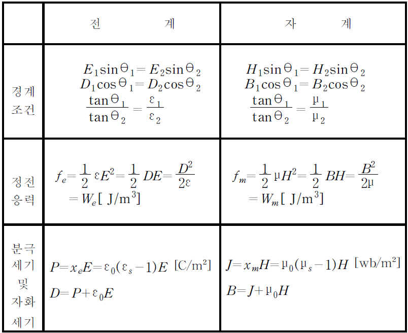
- • 전계 ↔ 자계는 수학적으로 대응 관계가 있음 (전하 ↔ 자극, 유전율 ↔ 투자율).
• 전속밀도 D와 자속밀도 B는 매질 특성에 따라 달라지며, 시험에서 단위 변환 문제로 자주 출제됨.
• 쿨롱의 법칙과 자극 사이 힘은 구조가 동일하므로 비교 문제로 자주 등장.
- • 전계 ↔ 자계는 수학적으로 대응 관계가 있음 (전하 ↔ 자극, 유전율 ↔ 투자율).














체적전하밀도(ρ, Volume Charge Density)가 균일하게 분포된 구(반경 a)에서 전기장을 구하는 공식입니다. 이는 가우스 법칙을 적용한 대표적인 예시로, 시험에서 자주 출제













































'프로그램&회로' 카테고리의 다른 글
| 전기안전인증 절연 class (0) | 2026.03.06 |
|---|---|
| 펠티어 소자에 대해. (0) | 2026.02.10 |
| 콘덴서의 수명과 파손에 대하여... (0) | 2025.12.09 |
| 나의 AI활용 실력은? (0) | 2025.12.05 |
| 김치냉장고 화재관련 정리 (0) | 2025.12.02 |